KEGG2Net: Deducing gene interaction networks and acyclic graphs from KEGG pathways

Authors

  • Sree K Chanumolu Department of Electrical and Computer Engineering, University of Nebraska-Lincoln, Lincoln, NE
  • Mustafa Albahrani Department of Electrical and Computer Engineering, University of Nebraska-Lincoln, Lincoln, NE
  • Handan Can Department of Electrical and Computer Engineering, University of Nebraska-Lincoln, Lincoln, NE
  • Hasan H Otu Department of Electrical and Computer Engineering, University of Nebraska-Lincoln, Lincoln, NE https://orcid.org/0000-0002-9253-8152

Keywords:

biological pathways, gene interaction networks, bayesian networks, cycle removal

Abstract

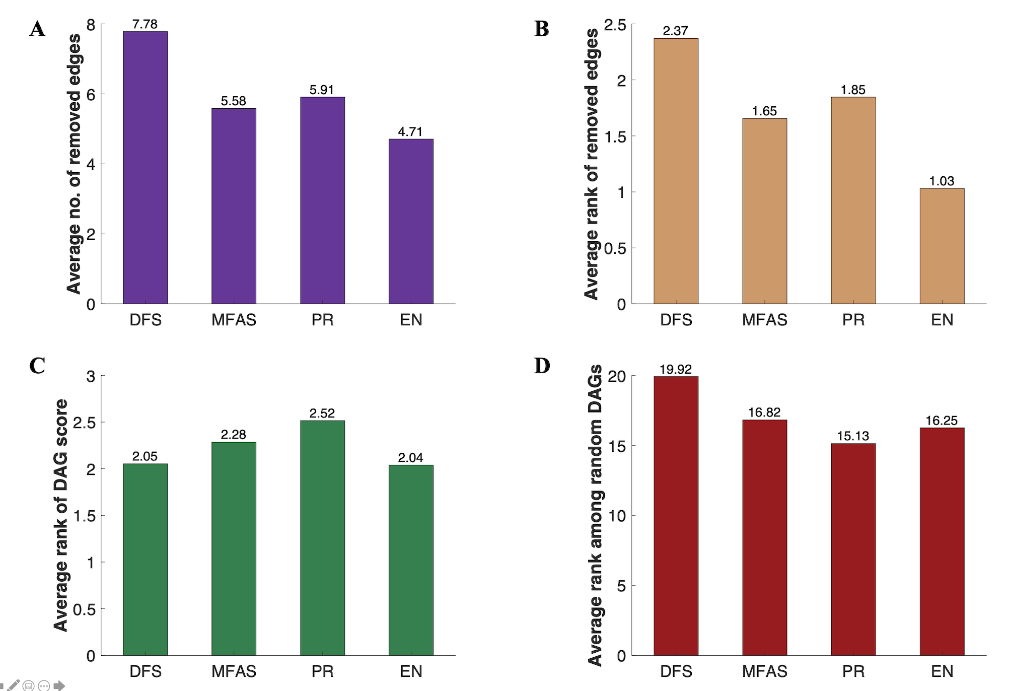
The Kyoto Encyclopedia of Genes and Genomes (KEGG) pathway database provides a manual curation of biological pathways that involve genes (or gene products), metabolites, chemical compounds, maps, and other entries. However, most applications and datasets involved in omics are gene or protein-centric requiring pathway representations that include direct and indirect interactions only between genes. Furthermore, special methodologies, such as Bayesian networks, require acyclic representations of graphs. We developed KEGG2Net, a web resource that generates a network involving only the genes represented on a KEGG pathway with all of the direct and indirect gene-gene interactions deduced from the pathway. KEGG2Net offers four different methods to remove cycles from the resulting gene interaction network, converting them into directed acyclic graphs (DAGs).  We generated synthetic gene expression data using the gene interaction networks deduced from the KEGG pathways and performed a comparative analysis of different cycle removal methods by testing the fitness of their DAGs to the data and by the number of edges they eliminate. Our results indicate that an ensemble method for cycle removal performs as the best approach to convert the gene interaction networks into DAGs. Resulting gene interaction networks and DAGs are represented in multiple user-friendly formats that can be used in other applications, and as images for quick and easy visualisation. The KEGG2Net web portal converts KEGG maps for any organism into gene-gene interaction networks and corresponding DAGs representing all of the direct and indirect interactions among the genes.

Availability: KEGG2Net is freely available at http://otulab.unl.edu/KEGG2Net

Author Biography

  • Hasan H Otu, Department of Electrical and Computer Engineering, University of Nebraska-Lincoln, Lincoln, NE

    Hasan H. Otu obtained his B.S. degree in 1996 and his M.S. degree in 1997, both from Bogazici University, Department of Electrical and Electronics Engineering. In 2002, he graduated from the University of Nebraska-Lincoln with a Ph.D. in Electrical Engineering focusing on Bioinformatics.

    He was a faculty member at Harvard Medical School (2003 - 2012), where he was a research fellow between 2002-2003. Between 2010-2013, Dr. Otu was the founding chair of the Department of Genetics and Bioengineering at Istanbul Bilgi University. Since 2013, Dr. Otu holds the position of Professor of Electrical and Computer Engineering at the University of Nebraska-Lincoln.

    Dr. Otu’s research interests are in the area of Bioinformatics focusing on macromolecular sequence analysis, microarrays, biomarker discovery, genetic variations and systems biology, analyzing high throughput biological data within the context of networks.

Downloads

Published

2021-03-05

Issue

Section

Technical Notes